LEY DE LOS GASES IDEALES
Relaciona la imagen con el texto referente a las fórmulas de las Leyes de los Gases.
: LEY DE BOYLE
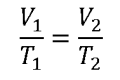
: LEY DE CHARLES
: LEY DE GAY LUSSAC
: LEY DE AVOGADRO
: LEY COMBINADA
: ECUACIÓN GENERAL
: LEY DE GRAHM
Otros juegos similares:
Otros juegos similares:
Otros juegos similares:

