: Gases
: Ley de Boyle - Mariotte
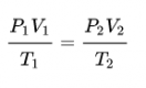
: Ecuación de Estado del gas ideal
: Primera Ley de Charles y Gay-Lussac
: Segunda Ley de Charles y Gay-Lussac
Otros juegos similares:
Otros juegos similares:
Otros juegos similares:

