: Triángulo equilátero
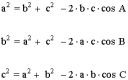
: Teorema del coseno
: Ángulo agudo
: Triángulo rectángulo
: Teorema de Pitágoras
Otros juegos similares:
Otros juegos similares:
Otros juegos similares:

