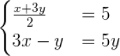
: x=4 y=-3
: x=4 y=2
: x=4 y=2
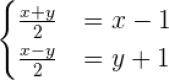
: x=1 y=2
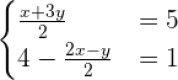
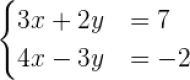
: x=4 y=-3
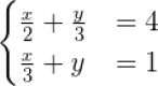
: x=2 y=0
: x=66/7 y=-15/7
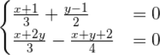
: x=-13/7 y=11/7
Otros juegos similares:
Otros juegos similares:
Otros juegos similares:

