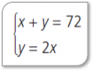
: Sistema Possível Determinado
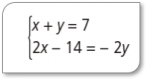
: Sistema Impossível
: Sistema Possível Indeterminado
: Sistema Possível Determinado
: Sistema Possível Indeterminado
Otros juegos similares:
Otros juegos similares:
Otros juegos similares:

